Barem MATEMATICĂ Simulare BAC 2019. Elevii au susținut proba obligatorie a profilului
Barem Matematică Simulare BAC 2019. Simularea examenului de Bacalaureat 2019 a continuat, miercuri, cu proba obligatorie a profilului, care va fi urmată joi de proba la alegere a profilului şi specializării, susţinută doar de elevii claselor a XII-a.
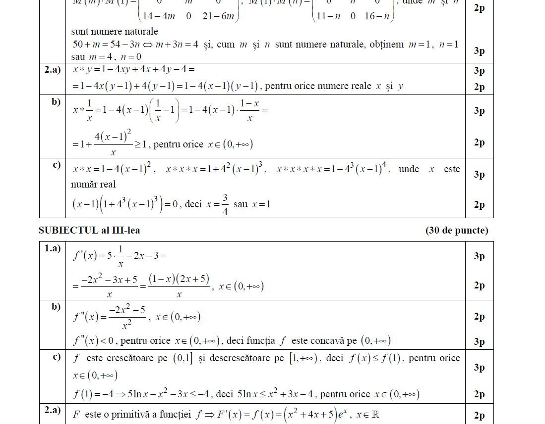
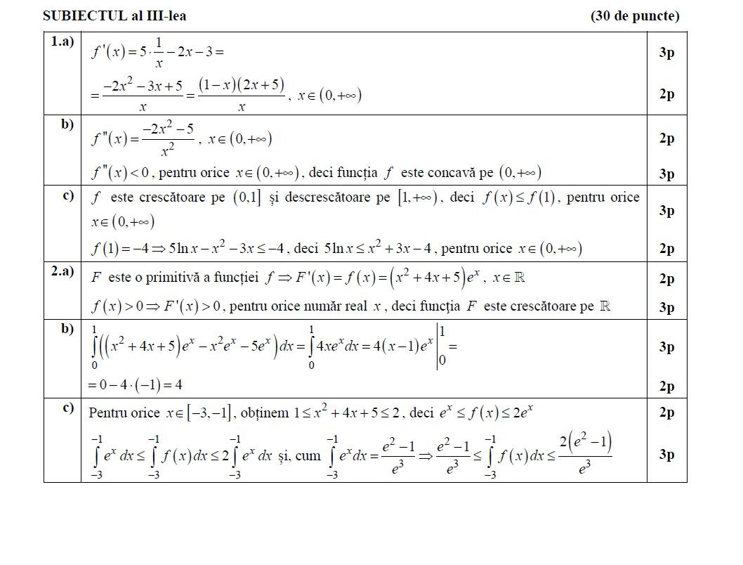
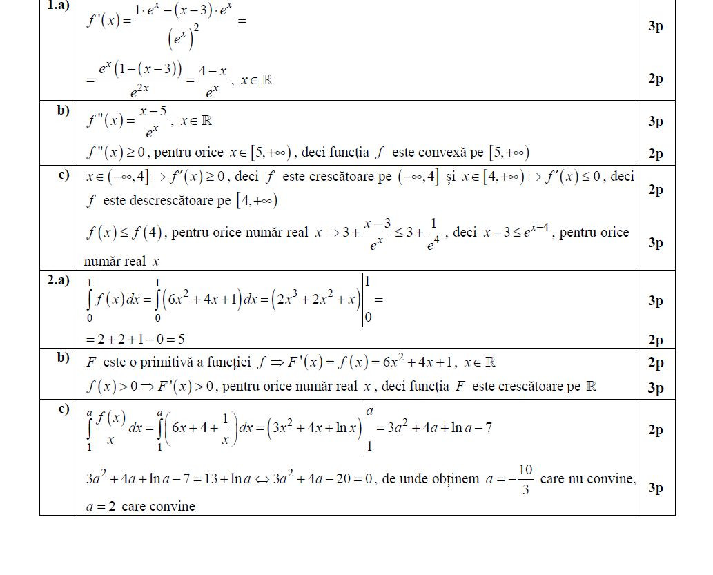
Barem Matematică Simulare BAC 2019. Ministerul Educaţiei a publicat baremul pentru subiectele la Matematică la simularea Bacalaureatului 2019. FOTO:
MATE-INFO:




PEDAGOGIC



ȘTIINȚELE NATURII




TEHNOLOGIC




Barem Matematică Simulare BAC 2019. Rezultatele vor fi comunicate pe data de 29 martie.
Barem Matematică Simulare BAC 2019. Rezultatele înregistrate vor fi analizate la nivelul fiecărei unităţi de învăţământ prin discuţii individuale cu elevii, dezbateri la nivelul clasei, şedinţe cu părinţii, precum şi la nivelul consiliului profesoral, în vederea adoptării unor măsuri adecvate fiecărei situaţii în parte, scopul fiind îmbunătăţirea performanţelor şcolare. Notele obţinute nu se contestă şi pot fi trecute în catalog în baza unei cereri scrise, depusă de elevi sau de părinţii acestora.
Abonați-vă gratuit la newsletter-ul Știrile Pro TV de pe WhatsApp. Primiți în fiecare zi cele mai importante știri pe telefon!
Pe Instagram-ul Știrile ProTV găsiți imaginile momentului din România, dar și din lume!
CLICK AICI pentru a instala GRATUIT aplicația Știrile ProTV pentru telefoane Android și iPhone!