Fost șef al Finanțelor SUA: „Tarifele lui Trump sunt pentru economie cum este creaționismul pentru biologie”
Războiul economic declarat de Donald Trump întregii lumi este criticat dur chiar și de către marii economiști americani.
Lawrence Summers, fost secretar al Trezoreriei americane, a declarat că tarifele lui Trump sunt pentru economie cum este creaționismul pentru biologie, scrie South China Morning Post (SCMP).
„Acesta este pentru economie ceea ce este creaționismul pentru biologie”, spune Summers, fost secretar al Trezoreriei și director al Consiliului Național Economic, despre războiul economic declanșat de Trump.
După ce președintele american Donald Trump a dezvăluit miercuri un grafic masiv de tarifare, anunțând taxe de 10% pentru toate țările și detaliind tarife reciproce mai mari pentru cei pe care el i-a numit „cei mai răi infractori”, un val de întrebări s-a răspândit pe tot globul.
”Cum anume au ajuns Trump și echipa sa la aceste cifre?”
”De ce, de exemplu, importurile din Vietnam - o națiune din Asia de Sud-Est pe care SUA au curtat-o în ultimii ani pentru a contracara China în regiune - se confruntă cu un tarif uluitor de 46%? Cum au ajuns produsele din Coreea de Sud cu un tarif de 25%?
Sau mărfurile din Taiwan se confruntă cu 32%, 31% în Elveția și 32% în Indonezia? Cum anume au ajuns Trump și echipa sa la aceste cifre?” - sunt întrebările lansate de publicația SCMP, deținută de gigantul Alibaba.

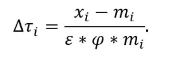
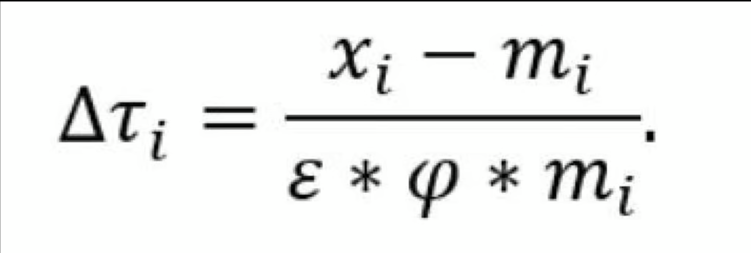
Potrivit secretarului de presă adjunct al Casei Albe, Kush Desai: „Am calculat literalmente bariere tarifare și netarifare”, împărtășind și o formulă de matematică pe rețelele sociale.