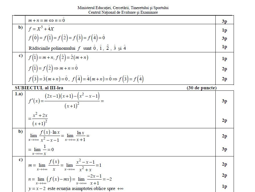
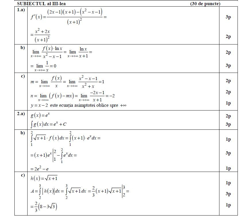
Bacalaureat 2012. Barem matematica M1 si M2
Examenul de Bacalaureat din 2012 a continuat cu cea de-a doua proba scrisa, cea la alegere dintre matematica si istorie, care a avut loc miercuri 4 iulie, in liceele din toata tara.
S-AU PUBLICAT BAREMELE DIN TOAMNA






Examenul de bacalaureat din sesiunea august-septembrie a continuat, miercuri, cu proba obligatorie a profilului.
Luni a avut loc prima proba scrisa, la limba romana, iar ultima proba scrisa - cea la alegere a profilului si specializarii - va avea loc vineri, 31 august.
Pe StirileProTV.ro vei gasi miercuri baremul de la matematica M1 si M2 din sesiunea de toamna.
BAREMELE PENTRU MATEMATICA M1 SI M2 SI PENTRU ISTORIE AU FOST PUBLICATE. LE GASITI ATASATE LA FINALUL ACESTUI ARTICOL.
VEZI si Bacalaureat 2012. Subiecte Matematica M1 si M2
Bacalaureat 2012. Barem matematica
Peste 180.000 de candidati au fost inscrisi la proba obligatorie a profilului de la bacalaureat, dintre care 145.199 de absolventi au optat pentru disciplina Matematica, iar 38.548 pentru Istorie, potrivit statisticilor Ministerului Educatiei.
Ultima proba a examenului, cea scrisa la alegere a profilului si specializarii, va avea loc la vineri, 6 iulie.
Toate informatiile despre BACALAUREAT 2012 le puteti gasi in sectiunea speciala de pe www.stirileprotv.ro
In 8 iulie vor fi afisate rezultatele, iar in 9 iulie, intre orele 8.00 si 12.00, vor putea fi depuse contestatiile.
In perioada 10 -12 iulie, va avea loc solutionarea contestatiilor, iar la 13 iulie vor fi afisate rezultatele la Bacalaureat 2012.
BAREM MATEMATICA M1
BAREM MATEMATICA M2