Ministerul Educației a retras de pe site modelele de subiecte cu teste grilă pentru BAC și Evaluarea Națională
Modelele de subiecte pentru Bacalaureat și Evaluarea Națională 2019, cu teste grilă nou-introduse pentru elevii care dau examen anul acesta, au fost retrase de pe site-ul oficial al Ministerului Educației.
Președintele Federației de Părinți, Iulian Cristache, a declarat pentru edupedu.ro că reprezentanții ministerului l-au invitat pentru vineri la discuții la Minister, împreună cu sindicatele din educație și cu reprezentanții elevilor, pe acest subiect.
Ministerul Educației a încercat să schimbe fără nicio dezbatere publică și fără nicio fundamentare sau studiu de impact subiectele de la examenele de Evaluare și Bacalaureat.
Schimbarea are loc într-un Minister al Educației care de mai bine o lună nu are ministru plin, fără un anunț public și fără ca instituția să spună ce studii au stat la baza modificării structurii acestor subiecte.
MODEL SUBIECTE ROMÂNĂ UMAN BACALAUREAT 2019



MODEL SUBIECTE ROMÂNĂ REAL BAC 2019



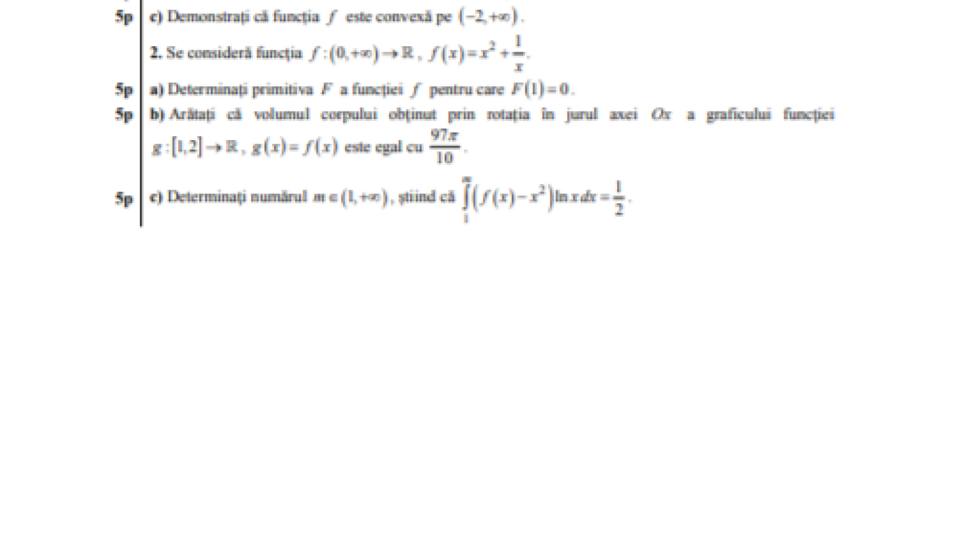
MODEL SUBIECTE MATEMATICĂ PROFIL MATE-INFO BACALAUREAT 2019


MODEL SUBIECTE MATEMATICĂ PROFIL TEHNOLOGIC BAC 2019


Pe Instagram-ul Știrile ProTV găsiți imaginile momentului din România, dar și din lume!
CLICK AICI pentru a instala GRATUIT aplicatia Stirile ProTV pentru telefoane Android si iPhone!
Sursa: edupedu.ro
Etichete: bacalaureat, subiecte, evaluare nationala, ministerul educatiei, site, teste grila,
Dată publicare:
01-11-2018 08:39