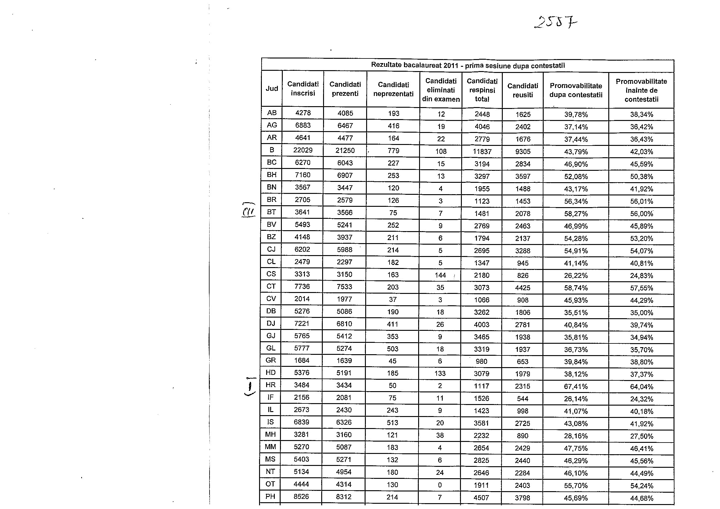
2.557 de elevi au luat BAC-ul dupa contestatii. De luni incep inscrierile pentru sesiunea din toamna
Afisate astazi dupa contestatii, rezultatele finale de la examenul de bacalaureat nu schimba faptul ca a fost o sesiune cu cele mai slabe note din istoria invatamintului. Nici macar jumatate dintre cei inscrisi nu au trecut testul.

Peste 93.000 de abolventi se pot gandi la facultate, restul ar trebui sa deschida din nou manualele, pentru ca si la sesiunea din toamna vor fi profesori vigilenti si camere de supraveghere.
2.557 de elevi au trecut Bacalaureatul, dupa rezolvarea contestatiilor , arata datele finale anuntate de MInistrul Educatiei. Asa ca rata de promovare a crescut cu 1,25%.
La nivel national 45,72% dintre elevi au luat BAC-ul, in sesiunea din iunie, adica un numar de 93.322.
Rata de promovare de peste 60% in judetele Harghita, Suceava, iar la coada clasamentului sunt judetele Mehidinti, Ilfov si Timis.
Cei care intra in sesiunea de toamna se pot inscrie incepand de luni. Atentie, nu sunt primiti daca au fost au fost eliminati din examen pentru ca au fost prinsi copiind.
Contestatii BACALAUREAT 2011. Rezultate finale, afisate in scoli. HARTA pe judete
Cititi si:
Pot juca in Liga 1! Cea mai buna veste primita de Poli de la TAS! Cand va fi judecat cazul!
Sursa: Pro TV
Etichete: bacalaureat, bac, elevi, rezultate, daniel funeriu,
Dată publicare:
09-07-2011 11:13