BAC MATEMATICA 2017. Modele de SUBIECTE si BAREM la mate-info, pedagogic, stiintele naturii si tehnologic
SUBIECTE BAC 2017 MATEMATICA. Absolventii de clasa a XII-a au sustinut miercuri proba scrisa la Bacalaureat 2017, prima fiind cea de Limba romana.
UPDATE MIERCURI: Subiectele si baremul de la matematica au fost publicate. Le puteti consulta AICI.
SUBIECTE BAC 2017 MATEMATICA. Elevii vor avea la dispozitie trei ore sa rezolve subiectele la Matematica la BAC 2017, iar in sali va fi supraveghere video si audio pe intrega perioada a examenului de bacalaureat.
SUBIECTE BAC 2017 MATEMATICA. www.stirileprotv.ro va prezinta modele de subiecte si barem la MATEMATICA.
Modele de subiecte la MATEMATICA, BAC 2017
SPECIALIZAREA MATEMATICA-INFORMATICA

SPECIALIZAREA STIINTE ALE NATURII

Modele de subiecte la MATEMATICA, BAC 2017, profil PEDAGOGIC
SPECIALIZAREA INVATATOR-EDUCATOR

Modele de subiecte la MATEMATICA, BAC 2017, profil TEHNOLOGIC

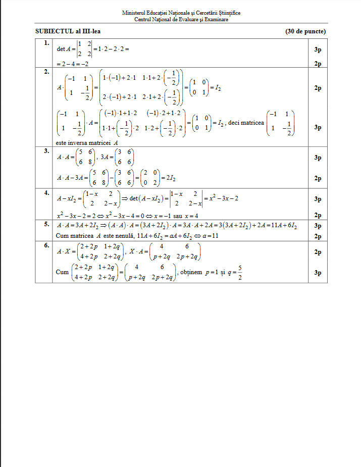
SUBIECTE BAC 2017 ROMANA. BAREM corectare model specializarea MATEMATICA-INFORMATICA:


SUBIECTE BAC 2017 ROMANA. BAREM corectare model specializarea STIINTE ALE NATURII:


SUBIECTE BAC 2017 ROMANA. BAREM corectare model profil PEDAGOGIC specializarea INVATATOR-EDUCATOR


SUBIECTE BAC 2017 ROMANA. BAREM corectare model profil TEHNOLOGIC


Primele rezultate vor fi afisate pe 5 iulie si in aceeasi zi, elevii nemultumiti de note pot depune contestatii. Rezolvarea contestatiilor va avea loc pe 6-9 iulie, iar rezultatele finale vor fi afisate pe 10 iulie.
Sursa: Pro TV
Etichete: bacalaureat, subiecte, rezultate, proba, barem, modele,
Dată publicare:
27-06-2017 21:55