EVALUARE NATIONALA 2014. Azi s-a dat simularea la proba de Matematica. Subiectele, rezolvarea lor si baremul de notare
EVALUARE NATIONALA 2014 - la proba de matematica, subiectele la simularea pentru evaluarea nationala au fost mai grele decat anul trecut. Mai jos puteti gasi rezolvarea lor si baremul dupa care vor fi corectate si notate
Toti elevii de clasa a VIII-a au sustinut miercuri 19 februarie proba de matematica la simularea pentru examenul de EVALUARE NATIONALA 2014. Proba s-a terminat la ora 11 si a fost supravegheata de camere video.
EVALUARE NATIONALA 2014 - Subiecte simulare matematica
Elevii au primit trei subiecte: la primul au avut de rezolvat un exercitiu cu puteri, o fractie, dar si o problema de geometrie unde trebuiau sa determine un unghi dintr-un cub. Un ultim subpunct a constat intr-o adunare simpla.
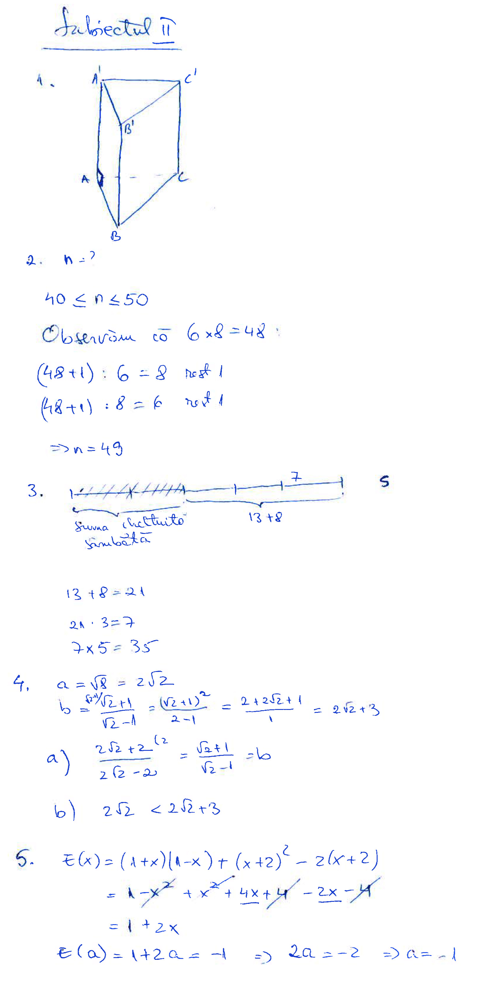
La cel de-al doilea subiect, elevii au primit cinci cerinte - sa deseneze o prisma, sa calculeze radicali si sa verifice rezultatul unei fractii. Cel de-al treilea subiect primit consta in mai multe probleme de geometrie.
Potrivit Gandul, elevii care au iesit de la examen au spus ca problemele de la simularea pentru EVALUARE NATIONALA 2014 au fost foarte grele, mai ales ca au primit multe probleme de geometrie.


Mai jos gasiti rezolvarea subiectelor la proba de matematica de la simularea examenului de EVALUARE NATIONALA 2014. Potrivit celor care au rezolvat si subiectele de anul trecut de la acest examen, la simularea de EVALUARE NATIONALA 2014 s-au dat probleme cu grad mult mai inalt de dificultate la matematica.
"A fost usor sa iei un 5, dar ca sa iei un 9 trebuia sa fii foarte bun", este concluzia celor care le-au comparat cu subiectele de anul precedent.




Ministerul Educatiei Nationale a publicat si baremul de evaluare si notare a lucrarilor la proba de matematica a simularii de EVALUARE NATIONALA 2014:


EVALUARE NATIONALA 2014 - In felul acesta, responsabilii cu EVALUARE NATIONALA 2014 isi vor da seama cat se invata in gimnaziu, iar scolile care inregistreaza diferente mari intre simulari si notele de zi cu zi vor fi controlate.
Elevii din clasa a 8-a au sustinut marti proba de limba romana la simularea examenului de evaluare nationala, in sali dotate cu camere de luat vederi.
EVALUARE NATIONALA 2014 - Elevii invata pe ultima suta de metri
Cu cearcane, pentru ca au incercat sa invete in ultima noapte pentru EVALUARE NATIONALA 2014 sau dimpotriva, relaxati si increzatori, elevii de clasa a 8-a au asteptat in fata scolilor momentul in care li s-a permis accesul in sali. Unii au avut timp sa faca si pronosticuri.
Antonio declara senin ca nu are prea multe asteptari de la aceasta simularea EVALUARE NATIONALA 2014. S-a resemnat, spune el, pentru ca literatura e grea.
Chiar si asa, tot ar trebui sa-i fie usor sa ia un 7. O spun profesorii, dar si reprezentantii ministerului, potrivit carora subiectele de la romana au un nivel mediu de dificultate.
EVALUARE NATIONALA 2014 - Cerinte pentru simularea la limba romana
Elevilor li s-a cerut sa redacteze o compunere in care sa povesteasca o intamplare petrecuta intr-o zona turistica sau sa explice semnificatia titlului poeziei "Zapada saruta intinderile", de Baconsky. Greu sau usor, la nici 2 minute de la iesirea din sala, unii nu-si mai aminteau nici subiectele primite.
"Nu mai stiu, stai sa ma uit. Zapada saruta intinderile", a spus un elev.
Miercuri urmeaza inca un hop: simularea EVALUARE NATIONALA 2014 la matematica.
Rezultatele la EVALUARE NATIONALA 2014 vor fi afisate pe 7 martie. Tot atunci vom avea o prima radiografie a invatamantului gimnazial.
Sa nu uitam ca anul trecut, la evaluarea nationala, nu mai putin de 35.000 de elevi nu au reusit nici macar sa ia o nota de 5.
Sursa: Pro TV
Etichete: evaluare nationala, rezultate evaluare nationala, EVALUARE NATIONALA 2014,
Dată publicare:
19-02-2014 07:32