Simulare BAC 2025 la Biologie. VEZI subiectele la Anatomie. Subiectele la Biologie vegetală, publicate astăzi
Simularea examenului de Bacalaureat 2025 continuă cu proba la alegere a profilului. Mulți dintre liceenii de la profil real au ales să dea examenul din Biologie, fie că este Anatomie umană, fie Biologie vegetală.
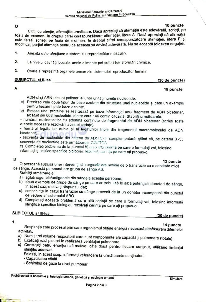
UPDATE: Subiectele la Anatomie



sursa foto: edupedu.ro
UPDATE: Simularea la Biologie și Anatomie este în plină desfășurare. Candidații mai au la dispoziție două ore pentru a rezolva subiectele.
----
Viitorii absolvenți de liceu au posibilitatea de a-și evalua cunoștințele în perspectiva examenului final din lunile iunie și iulie, rezolvând subiectele corespunzătoare.
Proba la Biologie începe la ora 9:00, moment în care elevii primesc broșurile cu subiecte. Ei au la dispoziție 3 ore pentru a rezolva cerințele.
Stirileprotv.ro vor publica subiectele la Biologie imediat ce vor fi disponibile, iar la ora 15.00, Ministerul Educației va publica oficial subiectele și baremul pe site-ul subiecte.edu.ro.
Vezi aici: subiectele și baremul de corectare la simulare BAC 2025 de la limba și literatura română
Vezi aici subiectele și baremul de corectate la matematică de la simulare BAC 2025
Vezi aici subiectele și baremul de corectate la istorie de la simulare BAC 2025
Ce se întâmplă cu notele la simularea BAC 2025 la Biologie
Un aspect deosebit de important pentru elevii care participă la simularea Bacalaureatului 2025 este statutul notelor obținute. Rezultatele simulărilor nu vor fi trecute automat în catalog, acestea fiind destinate, în primul rând, autoevaluării și identificării lacunelor în pregătire.
Totuși, elevii care obțin rezultate satisfăcătoare pot solicita, prin cerere scrisă, introducerea notei în catalog. Această opțiune a fost implementată pentru a crește motivația și implicarea elevilor în procesul de pregătire, oferindu-le posibilitatea de a valorifica rezultatele pozitive. Pe de altă parte, notele nesatisfăcătoare pot rămâne confidențiale, servind doar ca indicator personal al nivelului de pregătire, fără a afecta situația școlară.
Profesorii recomandă utilizarea rezultatelor simulărilor ca punct de referință în strategia de pregătire pentru examenul oficial. Indiferent de notele obținute, elevii pot identifica domeniile care necesită atenție suplimentară și pot elabora planuri de recuperare a materiei. De asemenea, cadrele didactice pot adapta metodele de predare și pot organiza sesiuni suplimentare de pregătire pentru elevii care întâmpină dificultăți.
Calendarul complet al examenului de Bacalaureat 2025
Probele examenului de Bacalaureat 2025 au început oficial pe 27 ianuarie, cu evaluarea competenţelor la BAC. Probele de competențe - evaluarea competenţelor digitale și evaluarea competenţelor lingvistice - au avut loc între 27 ianuarie și 7 februarie 2025. Între 29 şi 31 ianuarie a fost programată evaluarea competenţelor lingvistice de comunicare orală în limba maternă, iar în perioada 3 - 5 februarie a avut loc evaluarea competenţelor lingvistice într-o limbă de circulaţie internaţională. Ultima probă a fost cea de evaluare a competenţelor digitale, care a avut loc în intervalul 5 - 7 februarie, conform calendarului de desfășurare a examenului de Bacalaureat 2025.
Până la începerea probelor scrise din cadrul examenului de Bacalaureat, elevii din clasa a XII-a au de susținut simularea examenului de Bacalaureat 2025, care are loc în cadrul modulului 4 de cursuri, începând cu data de 24 martie, conform structurii anului școlar 2024-2025. Prima probă este cea scrisă la Limba și literatura română. Datele pentru simulările probelor scrise sunt 24, 25, 26 și 27 martie.
Cursurile se încheie pentru clasele a XII-a/a XIII-a pe 6 iunie 2025, iar probele scrise din cadul examenului de Bacalaureat 2025 încep pe 10 iunie și se încheie pe 16 iunie.
Calendar simulare Bacalaureat 2025
- 24 martie 2025: Limba și literatura română – probă scrisă
- 25 martie 2025: Proba obligatorie a profilului – probă scrisă
- 26 martie 2025: Proba la alegere a profilului și specializării – probă scrisă
- 27 martie 2025: Limba și literatura maternă – probă scrisă
- 8 aprilie 2025: Comunicarea rezultatelor
Calendar Bacalaureat 2025 - sesiunea iunie-iulie 2025
- 16 – 20 decembrie 2024: Înscrierea candidaților pentru susținerea probelor A, B, C, D din cadrul examenului național de bacalaureat – 2025
- 27-29 ianuarie 2025: Evaluarea competențelor lingvistice de comunicare oralăîn limba română– proba A
- 29-31 ianuarie 2025: Evaluarea competențelor lingvistice de comunicare orală în limba maternă – proba B
- 3-5 februarie 2025: Evaluarea competențelor lingvistice într-o limbă de circulație internațională– proba C
- 5-7 februarie 2025: Evaluarea competențelor digitale – proba D
- 30 mai – 4 iunie 2025: Susținerea probelor A, B, C, D pentru elevii beneficiari ai unor burse de studiu în străinătate
- 2-6 iunie 2025: Înscrierea candidaților la probele scrise ale primei sesiuni de examen
- 6 iunie 2025: Încheierea cursurilor pentru clasa a XII-a/a XIII-a
- 10 iunie 2025: Limba și literatura română – proba E.a) – probă scrisă
- 11 iunie 2025: Proba obligatorie a profilului – proba E.c) – probă scrisă
- 13 iunie 2025: Proba la alegere a profilului și specializării – proba E.d) – probă scrisă
- 16 iunie 2025: Limba și literatura maternă – proba E.b) – probă scrisă
- 20 iunie 2025: Afișarea rezultatelor la probele scrise, vizualizarea lucrărilor scrise și depunerea contestațiilor
- 23-24 iunie 2025: Vizualizarea lucrărilor scrise și depunerea contestațiilor
- 30 iunie 2025: Afișarea rezultatelor finale
Calendar Bacalaureat 2025 - sesiunea august 2025
- 14-21 iulie 2025: Înscrierea candidaților la a doua sesiune de examen, inclusiv a candidaților care au promovat examenele de corigențe
- 4-5 august 2025: Evaluarea competențelor lingvistice de comunicare orală în limba română – proba A
- 5 august 2025: Evaluarea competențelor lingvistice de comunicare orală în limba maternă – proba B
- 6 august 2025: Evaluarea competențelor digitale – proba D
- 7-8 august 2025: Evaluarea competențelor lingvistice într-o limbă de circulație internațională – proba C
- 11 august 2025: Limba și literatura română – proba E.a) – probă scrisă
- 12 august 2025: Proba obligatorie a profilului – proba E.c) – probă scrisă
- 13 august 2025: Proba la alegere a profilului și specializării – proba E.d) – probă scrisă
- 14 august 2025: Limba și literatura maternă – proba E.b) – probă scrisă
- 18 august 2025: Afișarea rezultatelor la probele scrise, vizualizarea lucrărilor scrise și depunerea contestațiilor
- 19-20 august 2025: Vizualizarea lucrărilor scrise și depunerea contestațiilor
- 26 august 2025: Afișarea rezultatelor finale
Sursa: StirilePROTV
Etichete: bacalaureat, simulare bacalaureat, subiecte bacalaureat, subiecte biologie,
Dată publicare:
26-03-2025 11:56