Proba la alegere BAC 2018 SUBIECTE și BAREM. Absolvenții au susținut ultima probă a examenului
Proba la alegere BAC 2018 SUBIECTE și BAREM. Elevii de clasa a XII-a au susținut joi ultima probă de la examenul de Bacalaureat 2018, cea la alegere a profilului şi specializării.
Proba la alegere BAC 2018 SUBIECTE și BAREM. Elevii au avut de ales între biologie, chimie, fizică, geografie, informatică, logică și argumentare, sociologie, economie, filosofie și psihologie.
Proba la alegere BAC 2018 SUBIECTE și BAREM . Subiectele și baremele de corectare au fost publicate.
Subiectele la Geografie




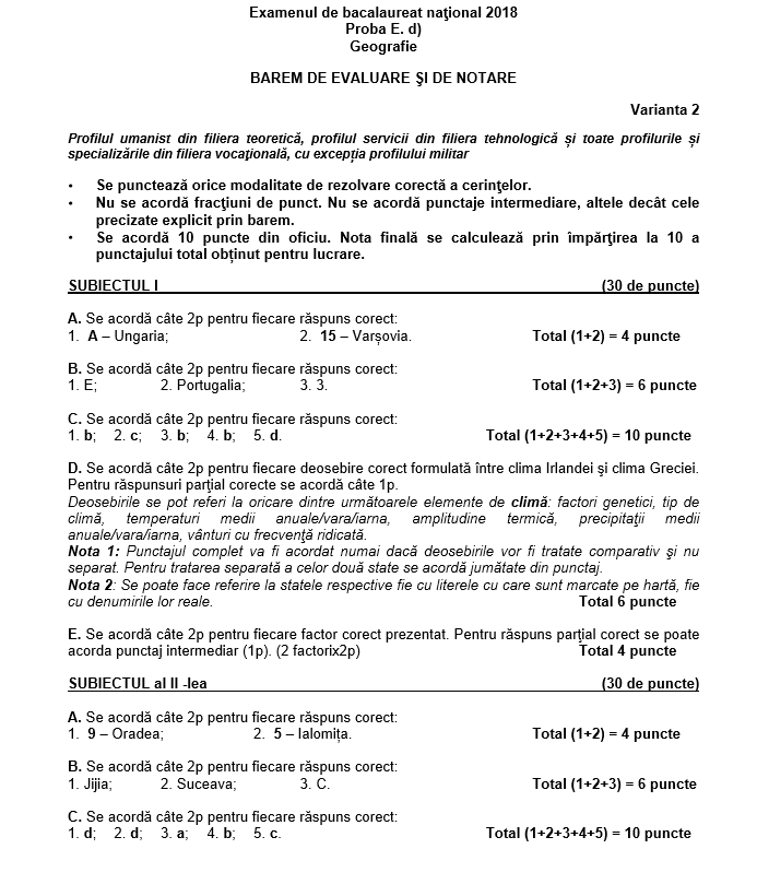
Baremul la Geografie


Subiectele la Biologie



Baremul la Biologie


Subiectele la Fizică




Baremul la Fizică





Subiecte la Sociologie


Baremul la Sociologie

Subiectele la Psihologie



Baremul la Psihologie

Subiecte la Logică





Subiecte la Logică







Baremul la Logică


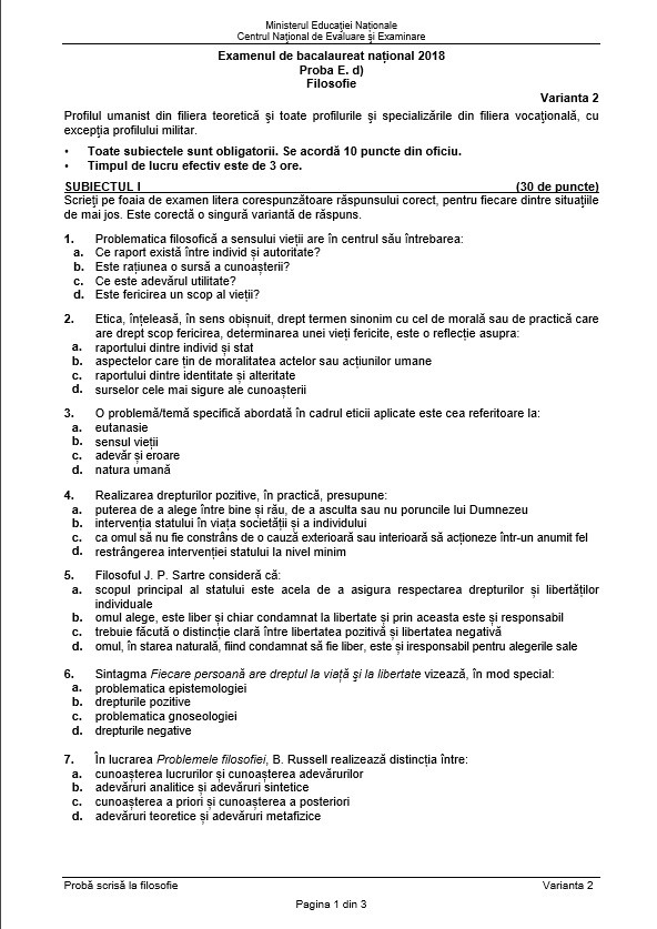
Subiecte la Filosofie



Baremul la Filosofie

Subiecte la Economie


Baremul la Economie

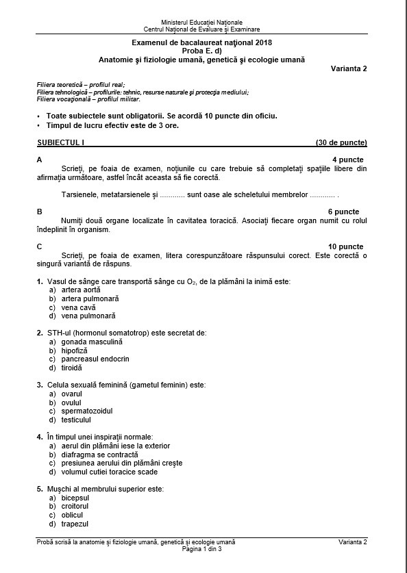
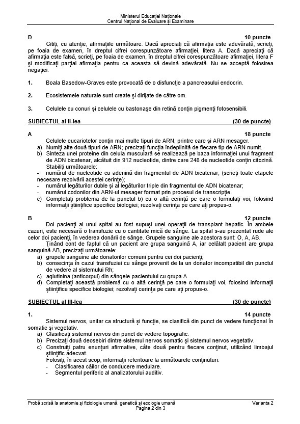
Subiecte Anatomie şi fiziologie umană, genetică şi ecologie
umană



Barem Anatomie şi fiziologie umană, genetică şi ecologie umană


Subiecte Chimie anorganică



Barem Chimie anorganică


Subiecte Chimie organică




Barem Chimie organică




UPDATE 12:00 Examenul s-a terminat.
La Biologie, candidații au avut de scris despre sistemul excretor, o întrebare despre hipofiză şi o problemă legată de formarea urinii.
Iar la Geografie au avut de comparat Irlanda cu Grecia și să compare grupa munţilor Retezat-Godeanu cu Subcarpaţii Getici. La Subiectul al III-lea au avut de scris despre Franţa - trei râuri, trei oraşe şi două ţări vecine-membre UE.
UPDATE 9:00 Examenul a început.
Proba la alegere BAC 2018 SUBIECTE și BAREM. Afişarea primelor rezultate, care se va face în centrele de examen şi pe site-ul bacalaureat.edu.ro este prevăzută pentru data de 4 iulie, până la ora 12:00. În aceeaşi zi, vor putea fi depuse contestaţiile, în intervalul orar 12:00 - 16:00. Rezultatele finale vor fi făcute publice în data de 9 iulie.
Timpul destinat redactării unei lucrări scrise este de trei ore, calculat din momentul în care s-a încheiat distribuirea subiectelor fotocopiate pentru fiecare candidat.
Nu este permis accesul în săli cu manuale, dicţionare, notiţe, însemnări etc., care ar putea fi utilizate pentru rezolvarea subiectelor, şi nici cu telefoane mobile sau cu orice mijloc electronic de calcul/comunicare. În acelaşi timp, candidaţilor le este interzis să comunice între ei sau cu exteriorul, să transmită ori să schimbe între ei foi din lucrare, ciorne, notiţe sau alte materiale care ar putea fi utilizate pentru rezolvarea subiectelor, pentru comunicare în interior sau cu exteriorul.
Cei surprinşi în aceste situaţii vor fi eliminaţi din examen, indiferent dacă materialele/obiectele interzise au fost folosite sau nu, indiferent dacă au fost introduse de aceştia ori de alţi candidaţi, de cadre didactice din comisie sau de alte persoane şi indiferent dacă ei au primit ori au transmis materialele interzise.
CLICK AICI pentru a instala GRATUIT aplicatia Stirile ProTV pentru telefoane Android si iPhone!
Sursa: StirilePROTV
Etichete: subiecte bacalaureat, barem de corectare,
Dată publicare:
28-06-2018 15:06