BACALAUREAT 2016. SUBIECTE SI BAREM MATEMATICA. Elevii de la profilul real au sustinut miercuri proba la MATEMATICA
BACALAUREAT 2016. SUBIECTE SI BAREM MATEMATICA. Miercuri, 6 iulie, absolventii claselor a XII-a au sustinut proba obligatorie a profilului - matematica si istorie.
BACALAUREAT 2016. SUBIECTE SI BAREM MATEMATICA. Au aparut subiectele la matematica, profilul real si tehnologic.
Matematica Subiecte Real:


Matematica Barem Real:


Matematica Subiecte Tehnologic:

Matematica Barem Tehnologic:


Matematica Subiecte Stiintele Naturii:

Matematica Barem Stiintele Naturii:


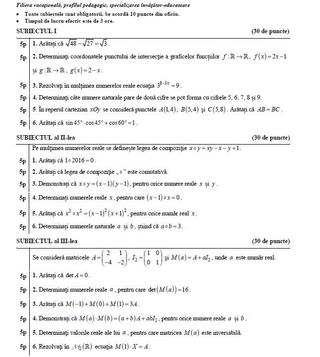
Matematica Subiecte Pedagogic:

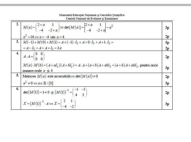
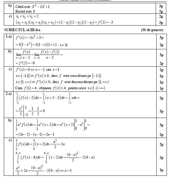
Matematica Barem Pedagogic:


BACALAUREAT 2016. SUBIECTE SI BAREM MATEMATICA. Bacalaureatul continua miercuri cu proba obligatorie a profilului: matematica si istorie
Rezultatele vor fi afisate in data de 12 iulie (pana in ora 16,00) si, in aceeasi zi, vor putea fi depuse contestatii (intre orele 16,00 - 20,00), care urmeaza a fi solutionate in perioada 13 - 15 iulie. Rezultatele finale vor fi facute publice in data de 16 iulie.
SUBIECTE BACALAUREAT 2016. SUBIECTE SI BAREM MATEMATICA. Potrivit unui centralizator al Ministerului Educatiei Nationale si Cercetarii stiintifice, in vederea sustinerii examenului national de bacalaureat din aceasta sesiune, s-au inscris 137.344 de absolventi de liceu.
Dintre acestia, 114.993 de candidati (71,23%) provin din promotia curenta, iar 22.351 de candidati (28,77%) din seriile anterioare.
SUBIECTE BACALAUREAT 2016. SUBIECTE SI BAREM MATEMATICA. Nu este permis accesul candidatilor in salile de examen cu manuale, dictionare, notite, insemnari etc., care ar putea fi utilizate pentru rezolvarea subiectelor, si nici cu telefoane mobile sau cu orice mijloc electronic de calcul/comunicare. Nerespectarea dispozitiilor referitoare la introducerea de materiale interzise in sala de examen duce la eliminarea candidatului, indiferent daca materialele interzise au fost folosite sau nu, precizeaza MENCS.
BACALAUREAT 2016. CALENDAR SESIUNEA IUNIE-IULIE
- 13 - 15 iunie: Evaluarea competentelor lingvistice de comunicare orala in limba romana
- 15 - 17 iunie: Evaluarea competentelor lingvistice la limba materna
- 21 - 24 iunie: Evaluarea competentelor digitale
- 27 iunie - 1 iulie: Evaluarea competentelor lingvistice intr-o limba de circulatie internationala
- 4 iulie : Limba si literatura romana (proba E)a)
- 5 iulie: Limba si literatura materna (proba E)b)
- 6 iulie: Proba obligatorie a profilului (proba E)c)
- 8 iulie: Proba la alegere a profilului si specializarii (proba E)d).
- 12 iulie: Afisarea rezultatelor (pana in ora 16,00) si depunerea contestatiilor (intre orele 16,00 - 20,00)
- 13 - 15 iulie: Solutionarea contestatiilor
- 16 iulie: Afisarea rezultatelor finale
Sursa: Pro TV
Etichete: bacalaureat, examen, subiecte, elevi, limba romana, barem, romana, subiecte romana, subiecte limba romana, barem romana,
Dată publicare:
06-07-2016 15:32