A fost descoperita ecuatia fericirii

61553297

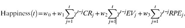
O ecuaţie care poate să prezică "fericirea de moment" a fost elaborată de cercetătorii în matematică de la University College din Londra.

Se ştie de multă vreme că fericirea depinde de multe circumstanţe şi de mulţi factori din viaţa de zi cu zi. Cercetătorii britanici au iniţiat un studiu cu scopul de a elabora o ecuaţie care poate să prezică fericirea de moment. Ei au descoperit că participanţii la studiul lor erau cel mai fericiţi atunci când se descurcau mai bine decât se aşteptau, în timpul unor sarcini din categoria "risc-recompensă".

Imagistica cerebrală a dezvăluit, totodată, că scorurile ridicate obţinute la testele ce vizează cuantificarea nivelului de fericire sunt corelate cu zonele cerebrale asociate cu starea de bună , informează bbc.co.uk.

happy

Cercetătorii britanici, al căror studiu a fost publicat în PLOS Journal, spun că această ecuaţie ar putea fi folosită pentru monitorizarea pe scară largă a tulburărilor de dispoziţie şi a nivelului de fericire în rândul populaţiei.

Citește și
Moltbook a atras milioane de utilizatori și agenți AI. Platforma devine tot mai influentă online
Moltbook a atras milioane de utilizatori și agenți AI. Platforma devine tot mai influentă online

"Putem să analizăm decizii şi rezultate din trecut şi să prezicem cu exactitate cât de fericiţi veţi spune că sunteţi în orice moment din viitor", a declarat profesorul Robb Rutlege de la University College London, coordonatorul studiului.

"Creierul încearcă să îşi dea seama ce trebuie să faceţi pentru a primi recompensa, aşadar toate deciziile, aşteptările şi rezultatele obţinute reprezintă informaţii pe care el le foloseşte pentru a se asigura că veţi lua decizii bune în viitor. Toate aşteptările recente se combină cu recompensele primite pentru a determina nivelul vostru actual de fericire", a explicat cercetătorul britanic.

De exemplu, oamenii merg la restaurant şi, dacă au aşteptări mici, acest fapt poate să le îmbunătăţească experienţa culinară, făcându-i să spună că preparatele care le sunt servite sunt mai bune decât se aşteptau. În sens invers, dacă aşteptările sunt mari, ele pot să sporească nivelul de fericire chiar înainte de începerea mesei, datorită anticipării evenimentului.

Pentru a crea acest model matematic, savanţii britanici au analizat rezultatele prezentate de 26 de persoane care au participat la un experiment în cadrul căruia, prin teste repetate, alegeau între recompense financiare sigure şi altele care erau riscante. După fiecare două-trei teste, ei erau invitaţi să îşi raporteze nivelul de fericire.

Creierele participanţilor erau monitorizate cu ajutorul imagisticii prin rezonanţă magnetică funcţională (fMRI).

Activitatea cerebrală înregistrată în două zone ale creierului a fost asociată pozitiv cu nivelurile ridicate de fericire. Cele două zone cerebrale sunt striatum ventral - sursa principală de neuroni dopaminergici - şi cortexul insular, o regiune cerebrală importantă pentru declanşarea multor emoţii, inclusiv a fericirii.

Striatumul ventral a fost asociat cu schimbările nivelului de fericire, iar cortexul insular cu apariţia senzaţiei de fericire în general.

Articol recomandat de sport.ro
Fabulos! Snoop Dogg a fluturat steagul României la deschiderea Jocurilor Olimpice de iarnă
Fabulos! Snoop Dogg a fluturat steagul României la deschiderea Jocurilor Olimpice de iarnă
Citește și...
Oficial: Alegerile pentru Primăria Capitalei vor avea loc pe 7 decembrie
Oficial: Alegerile pentru Primăria Capitalei vor avea loc pe 7 decembrie

Guvernul a stabilit data de duminică, 7 decembrie 2025, pentru organizarea alegerilor locale parţiale pentru primarul general al municipiului Bucureşti, Consiliul Judeţean Buzău şi pentru primari în mai multe localităţi.

Despre sport și determinarea de a îți urma pasiunea cu Remus Boroiu
Despre sport și determinarea de a îți urma pasiunea cu Remus Boroiu

Ferma – Un nou început a adus în atenția spectatorilor personalități cât se poate de diferite, probe tot mai dificile și intrigi care s-au complicat cu fiecare săptămână. Printre concurenții din acest an, unul dintre cei mai bine pregătiți sportivi și mai deciși să meargă cât mai departe a fost Remus Boroiu, unul dintre finaliștii Ninja Warrior România 2018.

Eleganța lui VLAD (Adrian Nartea) din serial
Eleganța lui VLAD (Adrian Nartea) din serial

Încă de la lansarea primului episod din producția VLAD, fiecare dintre cei care am urmărit cum au avansat intrigile, am putut observa ținutele elegante purtate de actorul principal. Adi Nartea a impresionat la fiecare apariție prin zâmbetul sau seriozitat

Recomandări
Fără tăieri la stat, planul de relansare economică riscă să eșueze. Patronatele: Simțim mugurii unei crize
Fără tăieri la stat, planul de relansare economică riscă să eșueze. Patronatele: Simțim mugurii unei crize

Fără tăieri reale și rapide ale cheltuielilor la stat, planul de relansare economică gândit de guvern la o scară de patru miliarde de euro riscă să rămână pe hârtie.

CCR decide soarta banilor din PNRR. 231 de milioane de euro de la UE depind de reforma pensiilor speciale ale magistraților
CCR decide soarta banilor din PNRR. 231 de milioane de euro de la UE depind de reforma pensiilor speciale ale magistraților

Pe ultima sută de metri, Guvernul încearcă să obțină o decizie de la CCR pentru reforma pensiilor magistraților.

Polonia închide o parte din spaţiul aerian pentru „activităţi militare neplanificate"
Polonia închide o parte din spaţiul aerian pentru „activităţi militare neplanificate"

Spaţiul aerian al aeroporturilor Lublin şi Rzeszow din sud-estul Poloniei a fost închis sâmbătă dimineaţa din cauza unor „activităţi militare neplanificate” legate de securitatea statului polonez, a comunicat Administraţia Federală a Aviaţiei din SUA.