A demonstrat ca Dumnezeu exista si a ascuns dovada 40 de ani
"Nu l-am vazut pe Dumnezeu, deci nu exista". Acesta este rationamentul clasic, bazat pe observatia directa. Un matematician excentric a reusit, insa, sa demonstreze stiintific ca Dumnezeu exista, fara a se baza pe observatia directa.
In 1940, Kurt Godel, cunoscut ca matematician si ca un personaj excentric al vremurilor sale, sustinea ca a gasit dovada stiintifica a existentei lui Dumnezeu. Formula lui matematica nu a fost copiata de nimeni pana la sfarsitul anilor ’70. Godel nu a spus un cuvant despre descoperirea sa, pana cand nu a fost sigur ca va muri. Formula matematica a existentei lui Dumnezeu a fost publicata abia in 1980, la 40 de ani de cand fusese gasita.
Gafa a Ministerului Educatiei. Bacalaureatul s-a modificat. Vezi noul calendar al probelor
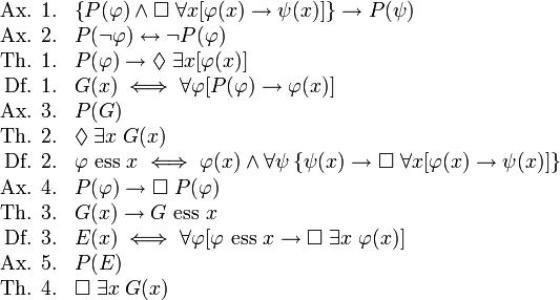
Dupa gandirea lui Godel, formula “magica” arata ca mai jos:

Godel si-a bazat argumentul pornind de la cel al Sfantului Anselm. Sfantul Anselm L-a definit pe Dumnezeu ca pe cel mai impunator lucru din Univers. Nicio fiinta mai puternica nu putea fi imaginata de mintea umana. Prin umare, daca Dumnezeu nu exista, atunci trebuie sa ne gandim la o fiinta si mai puternica decat el si care, evident, exista. Cum nu a fost posibil, prin definitie, a imagina un lucru ma impozant decat cel mai impunator lucru imaginabil, atunci, Dumnezeu trebuie sa existe.
Godel a modificat un pic argumentul lui Anselm. A folosit logica modala. Logica modala face distinctia intre diferitele stadii ale supozitiilor. Unele supozitii sunt demonstrabile in cateva cuvinte, altele sunt demonstrabile numai printr-un cuvant, iar altele sunt demonstrabile in toate cuvintele. Daca sunt posibile in toate cuvintele, atunci ele sunt considerate intotdeauna “necesare”.
Dumnezeu poate fie sa existe in mod "necesar", fie sa nu existe in acelasi mod "necesar". Daca Dumnezeu este o fiinta atotputernica si el exista, atunci el exista in toate cuvintele. Daca nu exista, atunci nu exista in toate cuvintele in mod necesar. Indiferent cat de mica este sansa, Dumnezeu poate exista. Asta inseamna ca Dumnezeu nu poate in mod necesar sa nu existe. Din moment ce alegerea poate fi facuta intre: “Dumnezeu exista in mod necesar” si “Dumnezeu nu exista in mod necesar”, si am eliminat posibiltatea ca el sa nu existe in mod necesar, atunci singura posibilitate este aceea ca el exista in mod necesar.
Citeste si:
Scandaluri sexuale in lant cu oficiali francezi. Fost ministru, acuzat de pedofilie
VIDEO: Experiment cu camera ascunsa ... in sani. Cum reactioneaza barbatii cand vad un bust frumos
CE a anulat alerta impotriva castravetilor spanioli. Focarul epidemiei este un oras din Germania