BACALAUREAT 2013. Subiecte matematica au fost publicate
BACALAUREAT 2013. Elevii care au terminat clasa a XII-a la profilul real sustin miercuri proba scrisa la matematica la BACALAUREAT 2013.
Candidatii la BACALAUREAT 2013, sesiunea iunie-iulie, profilul real, sustin luni PROBA SCRISA LA MATEMATICA.
Vineri are loc proba la alegere a profilului si specializarii.
Conform EDU.RO, rezultatele finale la BACALAUREAT 2013 vor fi afisate luni, 8 iulie, pana in ora 12:00. Contestatiile vor putea fi depuse intre orele 12:00-16:00. Vineri, 12 iulie, vor fi anuntate rezultatele finale.
Pe www.stirileprotv.ro gasiti, miercuri, subiectele la MATEMATICA si baremul la MATEMATICA de la BACALAUREAT 2013, de indata ce vor fi publicate de EDU.RO
Toate informatiile despre examenul de BACALAUREAT 2013 le gasiti in sectiunea BACALAUREAT 2013, dar si in timp real pe site-ul www.stirileprotv.ro.
Subiectele pentru profilul mate-info:

Subiectele pentru profilul pedagogic:

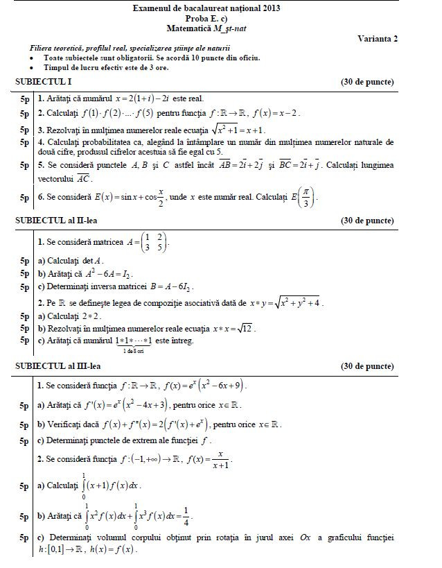
Subiectele pentru profilul stiintele naturii:

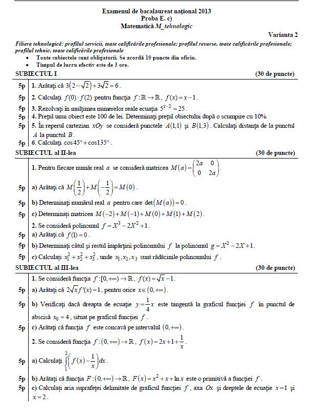
Subiectele pentru profilul tehnologic:
