Simulare Bac 2023. Subiecte la Logică, Geografie, Biologie, Informatică, Chimie, Psihologie, Fizică, Sociologie și Filosofie
Elevii din anii terminali de liceu au susținut, astăzi, simularea la proba la alegere a profilului în cadrul examenului de Bacalaureat 2023. După terminarea probei, subiectele și baremele vor fi publicate pe edu.ro.
UPDATE: Subiectele și baremele la proba la alegere au fost publicate pe edu.ro.
Subiect simulare Bacalaureat 2023 - Logică
Barem subiect simulare Bacalaureat 2023 - Logică
Subiect simulare Bacalaureat 2023 - Geografie
Barem subiect simulare Bacalaureat 2023 - Geografie
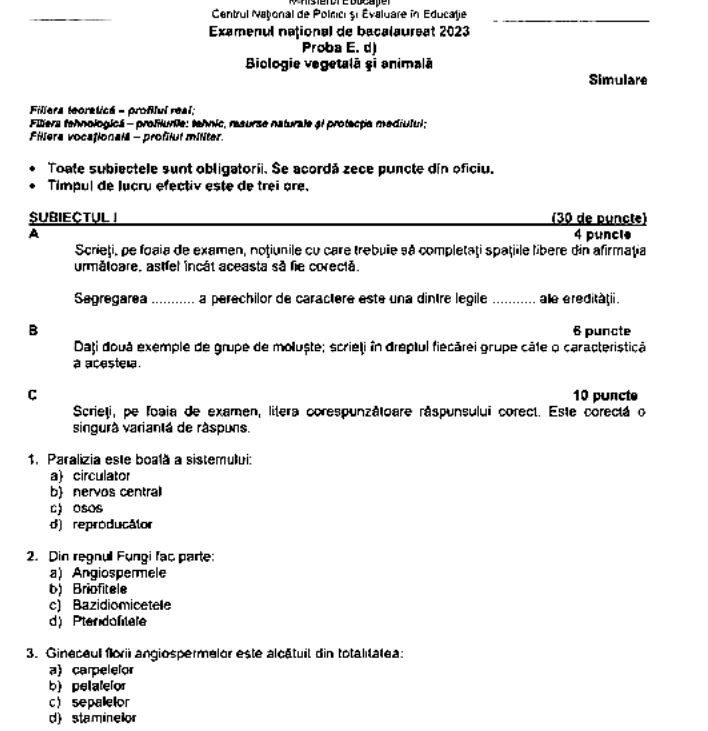
Subiect simulare Bacalaureat 2023 - Biologie vegetală și animală
Barem subiect simulare Bacalaureat 2023 - Biologie vegetală și animală
Subiect simulare Bacalaureat 2023 - Anatomie şi fiziologie umană, genetică şi ecologie umană
Barem subiect simulare Bacalaureat 2023 - Anatomie şi fiziologie umană, genetică şi ecologie umană
Subiect simulare Bacalaureat 2023 - Fizică - Filiera teoretică
Barem subiect simulare Bacalaureat 2023 - Fizică - Filiera teoretică
Subiect simulare Bacalaureat 2023 - Fizică - Filiera tehnologică
Barem subiect simulare Bacalaureat 2023 - Fizică - Filiera tehnologică
Subiect simulare Bacalaureat 2023 - Chimie organică
Barem subiect simulare Bacalaureat 2023 - Chimie organică
Subiect simulare Bacalaureat 2023 - Chimie anorganică
Barem subiect simulare Bacalaureat 2023 - Chimie anorganică
Subiect simulare Bacalaureat 2023 - Psihologie
Barem subiect simulare Bacalaureat 2023 - Psihologie
Subiect simulare Bacalaureat 2023 - Sociologie
Barem subiect simulare Bacalaureat 2023 - Sociologie
Subiect simulare Bacalaureat 2023 - Filosofie
Barem subiect simulare Bacalaureat 2023 - Filosofie
Subiect simulare Bacalaureat 2023 - Economie
Barem subiect simulare Bacalaureat 2023 - Economie
Subiect simulare Bacalaureat 2023 - Informatică - Profil Mate-Info - Limbaj Pascal
Subiect simulare Bacalaureat 2023 - Informatică - Profil Mate-Info - Limbaj C/C++
Barem subiect simulare Bacalaureat 2023 - Informatică - Profil Mate-Info Limbaj Pascal/C/C++
Subiect simulare Bacalaureat 2023 - Informatică - Profil Științe ale naturii - Limbaj Pascal
Subiect simulare Bacalaureat 2023 - Informatică - Profil Științe ale naturii - Limbaj C/C++
Barem subiect simulare Bacalaureat 2023 - Informatică - Profil Mate-Info - Limbaj Pascal/C/C++
UPDATE: Proba la alegere a profilului din cadrul simulării examenului de Bacalaureat 2023 s-a încheiat.
Elevii din clasele terminale de liceu au avut posibilitatea să aleagă una dintre cele 11 materii din care pot să dea Bac-ul în această vară.
Cele mai populare materii sunt Logic

Lista completă a materiilor din care se dă proba la alegere la Bac 2023
Profil real:
► Anatomie și fiziologie umană




► Biologie vegetală și animală



► Chimie




► Economie




► Fizică



► Informatică




Profil uman:
► Geografie







► Logică și argumentare





► Psihologie





► Sociologie


► Filosofie





Sursa subiecte: stirileprotv
----
Simularea la alegere a profilului este penultima probă scrisă de la Bacalaureat 2023. În total, la simularea de la Bac, liceeni dau patru probe.
Luni, 27 martie 2023, elevii au avut simularea la Limba și literatura română, care este proba obligatorie la Bac.
A doua zi, marți, elevii au dat proba obligatorie a profilului. Cei care au absolvit profilul real au dat simulare la Matematică, iar cei care au terminat profilul uman au dat simulare la Istorie.
Simulare la Bac 2023: proba la alegere a profilului
Astăzi, în funcție de profil și specializare, liceeni susțin proba la alegere și au de ales între 11 discipline.
Elevii care au urmat cursurile într-un liceu cu profil real, specializările matematică-informatică și științe ale naturii au de ales dintre următoarele discipline: anatomie și fiziologie umană, biologie vegetală și animală, chimie, economie, fizică sau informatică.
Iar elevii de la profilul uman, specializările filologie și științe sociale pot să aleagă să dea proba la: geografie, logică, argumentare și comunicare, psihologie, sociologie sau filosofie.
Cum se desfășoară proba la alegere a profilului de la simulare Bacalaureat 2023
Miercuri, 29 martie 2023, liceeni dau proba la alegere a profilului. Astfel, cei care au ales la începutul anului, disciplina la care vor susține bacalaureatul, astăzi dau simularea la acea disciplină.
Elevii au voie să intre în sală începând de la ora 08.00 și până la 08.30. Aceștia trebuie să prezinte profesorului supraveghetor cartea de identitate sau pașaportul pentru a se identifica.
Proba începe la ora 09.00, iar liceeni au la dispoziție trei ore pentru rezolvarea subiectelor.
Examenul cuprinde trei subiecte, iar fiecare dintre acestea este notat cu 30 de puncte.
Toți elevii claselor a XII-a și a XIII-a din fiecare județ și din București primesc aceleași subiecte în funcție de profilul și de specializare.
Rezultatele la simularea de la Bacalaureat 2023
Notele de la simulare nu se contestă și nu se trec în catalog. Doar în cazul în care, elevul cere în mod expres acest lucru, profesourul îi va putea trece nota în catalog.
De asemenea pentru îmbunătățirea performanțelor școlare, notele de la simulare se vor discuta individual cu fiecare elev, prin dezbateri la nivel de clasă sau la ședințele cu părinții pentru îmbunătățirea performanțelor școlare, potrivit edu.ro.
După terminarea probei de la matematică, subiectele și baremele vor fi publicate pe stirileprotv.
Modele de subiecte și bareme la proba la alegere a profilului
Pentru a afla cât de pregătiți sunt pentru examenul de la simulare, Ministerul Educației a publicat pe site-ul edu.ro modele de subiecte și bareme pentru fiecare disciplină.
Model subiect simulare Bacalaureat 2023 - Informatică - Mate-Info - Limbaj Pascal
Model subiect simulare Bacalaureat 2023 - Informatică - Mate-Info - Limbaj C și C++
Barem model subiect simulare Bacalaureat 2023 - Informartică - Mate-Info - Limbaj Pascal/C și C++
Model subiect simulare Bacalaureat 2023 - Economie
Barem model subiect simulare Bacalaureat 2023 - Economie
Model subiect simulare Bacalaureat 2023 - Anatomie şi fiziologie umană, genetică şi ecologie umană
Model subiect simulare Bacalaureat 2023 - Biologie vegetală și animală
Barem model subiect simulare Bacalaureat 2023 - Biologie vegetală și animală
Model subiect simulare Bacalaureat 2023 - Chimie organică
Barem model subiect simulare Bacalaureat 2023 - Chimie organică
Model subiect simulare Bacalaureat 2023 - Chimie anorganică
Barem model subiect simulare Bacalaureat 2023 - Chimie anorganică
Model subiect simulare Bacalaureat 2023 - Fizică - Profil tehnologic
Barem model subiect simulare Bacalaureat 2023 - Fizică - Profil tehnologic
Model subiect simulare Bacalaureat 2023 - Fizică - Profil real
Barem model subiect simulare Bacalaureat 2023 - Fizică - Profil real
Model subiect simulare Bacalaureat 2023 - Geografie
Barem model subiect simulare Bacalaureat 2023 - Geografie
Model subiect simulare Bacalaureat 2023 - Logică
Barem model subiect simulare Bacalaureat 2023 - Logică
Model subiect simulare Bacalaureat 2023 - Psihologie
Barem model subiect simulare Bacalaureat 2023 - Psihologie
Model subiect simulare Bacalaureat 2023 - Sociologie
Barem model subiect simulare Bacalaureat 2023 - Sociologie
Model subiect simulare Bacalaureat 2023 - Filosofie
Barem model subiect simulare Bacalaureat 2023 - Filosofie
Calendarul Bacalaureat 2023
Potrivit calendarului examenului de Bacalaureat 2023 elevii vor da probele scrise în perioada 26 - 29 iunie 2023, în sesiunea de vară, respectiv 16 - 21 august 2023, în sesiunea de toamnă,
Calendar Bacalaureat 2023, sesiunea iunie - iulie
► 29 mai – 2 iunie 2023: Înscrierea candidaților la prima sesiune de examen;
► 2 iunie 2023: Încheierea cursurilor pentru clasa a XII-a/a XIII-a;
► 12 – 14 iunie 2023: Evaluarea competențelor lingvistice de comunicare orală în limba română – proba A;
► 14 – 15 iunie 2023: Evaluarea competențelor lingvistice de comunicare orală în limba maternă – proba B;
► 14 – 16 iunie 2023: Evaluarea competențelor digitale – proba D;
►19 – 21 iunie 2023: Evaluarea competențelor lingvistice într-o limbă de circulație internațională – proba C;
► 26 iunie 2023: Limba și literatura română – proba E.a) – proba scrisă;
► 27 iunie 2023: Proba obligatorie a profilului – proba E.c) – proba scrisă;
► 28 iunie 2023: Proba la alegere a profilului și specializării – proba E.d) – proba scrisă;
► 29 iunie 2023: Limba și literatura maternă – proba E.b) – proba scrisă;
► 3 iulie 2023: Afișarea rezultatelor la probele scrise până la ora 12,00) și depunerea contestațiilor în intervalul orar 12:00 – 18:00;
► 4 – 6 iulie 2023: Rezolvarea contestațiilor;
► 7 iulie 2023: Afișarea rezultatelor finale;
Calendar Bacalaureat 2023, sesiunea de toamnă
► 17 – 24 iulie 2023: Înscrierea candidaților la a doua sesiune de examen, inclusiv a candidaților care au promovat examenele de corigențe;
► 7 – 8 august 2023: Evaluarea competențelor lingvistice de comunicare orală în limba română – proba A;
► 8 august 2023: Evaluarea competențelor lingvistice de comunicare orală în limba maternă – proba B;
► 9 august 2023: Evaluarea competențelor digitale – proba D;
► 10 – 11 august 2023: Evaluarea competențelor lingvistice într-o limbă de circulație internațională – proba C;
► 16 august 2023: Limba și literatura română – proba E.a) – proba scrisă;
► 17 august 2023: Proba obligatorie a profilului – proba E.c) – proba scrisă;
► 18 august 2023: Proba la alegere a profilului și specializării proba E.d) – proba scrisă;
► 21 august 2023: Limba și literatura maternă – proba E.b) – proba scrisă;
► 25 august 2023: Afișarea rezultatelor la probele scrise (până la ora 12,00) și depunerea contestațiilor (orele 12:00 – 18:00);
► 26 – 28 august 2023: Rezolvarea contestațiilor;
► 29 august 2023: Afișarea rezultatelor finale;
- Descarcă Model barem subiect simulare Bacalaureat 2023 - Informatică - Științe ale naturii Limbaj Pascal și C++
- Descarcă Model subiect simulare Bacalaureat 2023 - Informatică - Științe ale naturii - Limbaj C++
- Descarcă Model subiect simulare Bacalaureat 2023 - Informatică - Științe ale naturii - Limbaj Pascal
- Descarcă Model barem subiect simulare Bacalaureat 2023 - Informatică - Mate-info Limbaj Pascal și C++
- Descarcă Model subiect simulare Bacalaureat 2023 - Informatică - Mate-Info - Limbaj C++
- Descarcă Model subiect simulare Bacalaureat 2023 - Informatică - Mate-Info - Limbaj Pascal
- Descarcă Model barem subiect simulare Bacalaureat 2023 - Sociologie
- Descarcă Model subiect simulare Bacalaureat 2023 - Sociologie
- Descarcă Model barem subiect simulare Bacalaureat 2023 - Logică
- Descarcă Model subiect simulare Bacalaureat 2023 - Logică
- Descarcă Model barem subiect simulare Bacalaureat 2023 - Psihologie
- Descarcă Model subiect simulare Bacalaureat 2023 - Psihologie
- Descarcă Model barem subiect simulare Bacalaureat 2023 - Fizică - Filieră toretică și vocațională
- Descarcă Model subiect simulare Bacalaureat 2023 - Fizică - Filieră teoretică și vocațională
- Descarcă Model barem subiect simulare Bacalaureat 2023 - Fizică - Filieră tehnologică
- Descarcă Model subiect simulare Bacalaureat 2023 - Fizică - Filieră tehnologică
- Descarcă Model barem subiect simulare Bacalaureat - Filosofie
- Descarcă Model subiect simulare Bacalaureat 2023 - Filosofie
- Descarcă Model barem subiect simulare Bacalaureat 2023 - Economie
- Descarcă Model subiect simulare Bacalaureat 2023 - Economie
- Descarcă Model barem subiect simulare Bacalaureat 2023 - Anatomie şi fiziologie umană, genetică şi ecologie umană
- Descarcă Model subiect simulare Bacalaureat 2023 - Anatomie şi fiziologie umană, genetică şi ecologie umană
- Descarcă Model subiect simulare Bacalaureat 2023 - Geografie
- Descarcă Model barem subiect simulare Bacalaureat - Geografie
- Descarcă Model subiect simulare Bacalaureat 2023 - Biologie Vegetală și Aninală
- Descarcă Model barem subiect simulare Bacalaureat 2023 - Anatomie şi fiziologie umană, genetică şi ecologie umană
- Descarcă Model barem subiect simulare Bacalaureat 2023 - Biologie vegetală și animală
- Descarcă Model subiect simulare Bacalaureat 2023 - Chimie organică
- Descarcă Model barem subiect simulare Bacalaureat 2023 - Chimie organică
- Descarcă Model subiect simulare Bacalaureat 2023 - Chimie anorganică
- Descarcă Model barem subiect simulare Bacalaureat 2023 - Chimie anorganică
- Descarcă Barem subiect simulare Bacalauret 2023 - Logica
- Descarcă Subiect simulare Bacalaureat 2023 - Logică
- Descarcă Subiect simulare Bacalaureat 2023 - Geografie
- Descarcă Barem subiect simulare Bacalauret 2023 - Geografie
- Descarcă Subiect simulare Bacalaureat 2023 - Biologie vegetală și animală
- Descarcă Barem simulare Bacalaureat 2023 - Biologie vegetală și animală
- Descarcă Subiect simulare Bacalaureat 2023 - Anatomie și fiziologie umană
- Descarcă Barem simulare Bacalaureat 2023 - Anatomie și fiziologie umană
- Descarcă Subiect simulare Bacalaureat 2023 - Fizică - Filiera teoretică
- Descarcă Barem simulare Bacalaureat 2023 - Fizica - Filiera teoretică
- Descarcă Subiect simulare Bacalaureat 2023 - Fizică - Filiera tehnologică
- Descarcă Barem simulare Bacalaureat 2023 - Fizică - Filiera tehnologică
- Descarcă Subiect simulare Bacalaureat 2023 - Chimie organică
- Descarcă Barem simulare Bacalaureat 2023 - Chimie organică
- Descarcă Subiect simulare Bacalaureat 2023 - Chimie anorganică
- Descarcă Barem simulare Bacalaureat 2023 - Chimie anorganică
- Descarcă Subiect simulare Bacalaureat 2023 - Psihologie
- Descarcă Barem simulare Bacalaureat 2023 - Psihologie
- Descarcă Subiect simulare Bacalaureat 2023 - Sociologie
- Descarcă Barem simulare Bacalaureat 2023 - Sociologie
- Descarcă Subiect simulare Bacalaureat 2023 - Filosofie
- Descarcă Barem simulare Bacalaureat 2023 - Filosofie
- Descarcă Subiect simulare Bacalaureat 2023 - Economie
- Descarcă Barem simulare Bacalaureat 2023 - Economie
- Descarcă Subiect simulare Bacalaureat 2023 - Informatică - Profil Mate-Info - Limbaj Pascal
- Descarcă Subiect simulare Bacalaureat 2023 - Informatică - Profil Mate-Info - Limbaj C/C++
- Descarcă Barem simulare Bacalaureat 2023 - Informatică - Profil Mate-Info - Limbaj Pascal/C/C++
- Descarcă Subiect simulare Bacalaureat 2023 - Informatică - Profil Științe ale naturii - Limbaj Pascal
- Descarcă Subiect simulare Bacalaureat 2023 - Informatică - Profil Științe ale naturii - Limbaj C/C++
- Descarcă Barem simulare Bacalaureat 2023 - Informatică - Profil Științe ale naturii - Limbaj Pascal/C/C++